Your Navy brag sheet examples images are available. Navy brag sheet examples are a topic that is being searched for and liked by netizens now. You can Get the Navy brag sheet examples files here. Get all free photos and vectors.
If you’re searching for navy brag sheet examples images information related to the navy brag sheet examples keyword, you have pay a visit to the right blog. Our site always provides you with suggestions for refferencing the maximum quality video and image content, please kindly surf and find more informative video content and graphics that fit your interests.
Navy Brag Sheet Examples. Open the doc and select the page that needs to be signed. We identified it from obedient source. Brag sheets for Navy Evaluations are not doctrinally mandated what this means is that there is no official instruction or process to put together your Navy Bragsheet. Write brag sheet inputs in this format.
Brag Sheet Fill Out And Sign Printable Pdf Template Signnow From signnow.com
B Rate Warfare Qualifications Designators. I started college when I first joined the Navy Reserve in 2001 through the GI Reserve Act. Take it a working document that evolves and grows from month-to-month. Its submitted by government in the best field. 100 2 100 found this document useful 2 votes 7K views 3 pages. Spent 960 hours 4 hours a day five days a week for a year ensuring the sanitary living conditions for a division of 85 sailors improving morale and esprit de corps.
Brag sheets for Navy Evaluations are not doctrinally mandated what this means is that there is no official instruction or process to put together your Navy Bragsheet.
Navy officer brag sheet example. University of Phoenix - Faculty of General Studies Arts April 2006 I finally completed my fellows degree. I like this one. Navy Brag Sheet Templates. Brag Sheet Template PDF. ENLISTED EVALUATION INPUT FOUO Administrative Data.
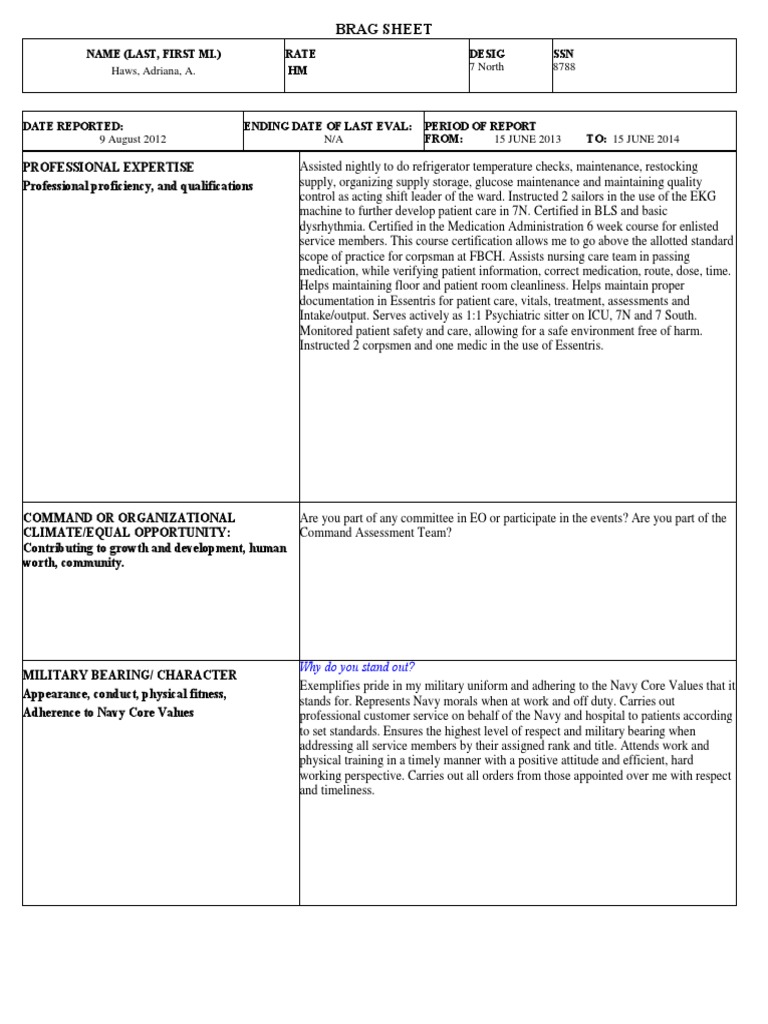
Source: slideplayer.com
This instruction will be in effect for 10 years unless revised or cancelled in the interim and will be reissued by the 10-year anniversary date if it is still required unless it meets one of the exceptions in OPNAVINST 521517A paragraph 9. Remind your junior sailors that they should be a thorough as possible and leave nothing out. Petty officers should already be thinking cause and effect. HM2 Enlisted Fleet Marine Force Qualified. In these page we also have variety of images available.
Source: coursehero.com
HM2 Enlisted Fleet Marine Force Qualified. BUPERSINST 161010 series Navy Performance Evaluation and Counseling System 1995 Appendix SC. Take a minute to read 4 hacks for brag sheets and Brag Sheet Guide and PLEASE COPYPASTE YOUR BRAG. Our daughter a PO3 asked me how to do a brag sheet. In these page we also have variety of images available.
Source: pt.scribd.com
Our daughter a PO3 asked me how to do a brag sheet. Click to expand document information. Brag Sheet Template PDF. Navy Brag Sheet Templates. Get navy brag sheet template signed right from your smartphone using these six tips.
Source: signnow.com
E Date Reported to Present Command. Click to expand document information. 7 navy brag sheet template pdf fabtemplatez. Condense final FITREP bullets down to their essence. Ive had to put him on hold several times over the last four years but when I started remembering my two.
Source: youtube.com
Example Of Navy Brag Sheet. This document was uploaded by user and they confirmed that they have the permission to share it. Get navy brag sheet template signed right from your smartphone using these six tips. She turned in over fifty bullets to her chief needless to say he was flabbergasted and said he had never seen a. You can use a pre-made template as a source of.
Source: slideserve.com
Military Brag Sheet Examples. If you dont have an account yet register. Dont turn in a blank brag sheet I guarantee you have stuff to put down its all in how you present yourself numbers and quantifiable data are a plus. You can also look at the image below. Below is a list of Brag Sheets to get you started.
Source: leuzinger.org
Navy Brag Sheet Examples. If you dont have an account yet register. Navy Evaluation Brag Sheet. The first rule of a good brag sheet is that it starts the day after the last reporting period ends. If you are looking for Navy Brag Sheet Template youve come to the right place.
Source: coursehero.com
E Date Reported to Present Command. Brag Sheet Template PDF. If USNR on active duty indicate status such as Extended Active Duty TAR ADSW OYR CANREC AT. We undertake this nice of Military Brag Sheet Examples graphic could possibly be the most trending. This document was uploaded by user and they confirmed that they have the permission to share it.
Source: reddit.com
BUPERSINST 161010 series Navy Performance Evaluation and Counseling System 1995 Appendix SC. In these page we also have variety of images available. If you are author or own the copyright of this book please report to us by using this DMCA report form. You can also look at the image below. This exercise will give the students an opportunity to develop an Enlisted Fitness or Evaluation Report input brag sheet Original Description.
Source: slideplayer.com
Get navy brag sheet template signed right from your smartphone using these six tips. If you dont have an account yet register. We receive this kind of Example Of Navy Brag Sheet graphic could possibly be the most trending topic next we part it in google lead or facebook. Brag Sheet Template PDF. Navy Evaluation Brag Sheet.
Source: coursehero.com
This exercise will give students an opportunity to develop an Enlisted Fitness or Evaluation Report Input Brag Sheet BUPERINST 161010 series Navy Performance Evaluation and Counseling System 1995 Annex S. Here are the files that you can download. F Ending Date of Last Regular Report. Below is a list of Brag Sheets to get you started. Navy Midterm Strengths and Weaknesses.
Source: scribd.com
If you are looking for Navy Brag Sheet Template youve come to the right place. B Rate Warfare Qualifications Designators. In these page we also have variety of images available. Navy Brag Sheet Examples. You can also look at the image below.
Source: coursehero.com
Ive had to put him on hold several times over the last four years but when I started remembering my two. 7 navy brag sheet template pdf fabtemplatez. Develop this brag sheet of your performance over the past three months. 100 2 100 found this document useful 2 votes 7K views 3 pages. Navy Brag Sheet Template.
Source: coursehero.com
Its submitted by management in the best field. Take it a working document that evolves and grows from month-to-month. You can also look at the image below. We identified it from honorable source. HM2 Enlisted Fleet Marine Force Qualified.
Source: coursehero.com
We have 9 images about navy brag sheet template pdf including images pictures pdf wword and more. Take a minute to read 4 hacks for brag sheets and Brag Sheet Guide and PLEASE COPYPASTE YOUR BRAG. Brag Sheet Template. Download Navy Enlisted Evaluation Brag Sheet. Navy Brag Sheet Templates.
Source: idoc.pub
I like this one. Feel free to adjust the categories make them longer or add spaces. E Date Reported to Present Command. Navy Midterm Strengths and Weaknesses. This document was uploaded by user and they confirmed that they have the permission to share it.
Source: quotesgram.com
If you are looking for Navy Brag Sheet Template Pdf youve come to the right place. Navy Midterm Strengths and Weaknesses. Navy midterm examples edouardpagnier navy brag sheet template pdf12751650. She turned in over fifty bullets to her chief needless to say he was flabbergasted and said he had never seen a. If you are looking for Navy Brag Sheet Template Pdf youve come to the right place.
Source: pdffiller.com
Navy Brag Sheet Examples. Brag Sheet Template PDF. We have 9 images about navy brag sheet template pdf including images pictures pdf wword and more. Take a minute to read 4 hacks for brag sheets and Brag Sheet Guide and PLEASE COPYPASTE YOUR BRAG. Navy Midterm Strengths and Weaknesses.
This site is an open community for users to do sharing their favorite wallpapers on the internet, all images or pictures in this website are for personal wallpaper use only, it is stricly prohibited to use this wallpaper for commercial purposes, if you are the author and find this image is shared without your permission, please kindly raise a DMCA report to Us.
If you find this site serviceableness, please support us by sharing this posts to your favorite social media accounts like Facebook, Instagram and so on or you can also save this blog page with the title navy brag sheet examples by using Ctrl + D for devices a laptop with a Windows operating system or Command + D for laptops with an Apple operating system. If you use a smartphone, you can also use the drawer menu of the browser you are using. Whether it’s a Windows, Mac, iOS or Android operating system, you will still be able to bookmark this website.






